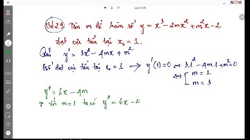
[LỚP 12] BÀI 5: Tìm m để hàm số đạt cực trị tại xo

Tonton & Download Video Musik Gratis

⬇ DOWNLOAD NOW
Kalau muncul iklan pop-up, tutup lalu klik tombol kembali

Download lagu [LỚP 12] BÀI 5: Tìm m để hàm số đạt cực trị tại xo secara gratis hanya untuk keperluan promosi. Dukung artis favorit kamu dengan membeli musik original di iTunes atau platform resmi lainnya.