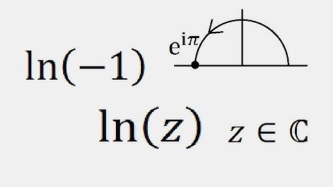
How to Take The Natural Log Of An Imaginary Number #maths #mathproblem #education#complexanalysis

Tonton & Download Video Musik Gratis

⬇ DOWNLOAD NOW
Kalau muncul iklan pop-up, tutup lalu klik tombol kembali

Download lagu How to Take The Natural Log Of An Imaginary Number #maths #mathproblem #education#complexanalysis secara gratis hanya untuk keperluan promosi. Dukung artis favorit kamu dengan membeli musik original di iTunes atau platform resmi lainnya.