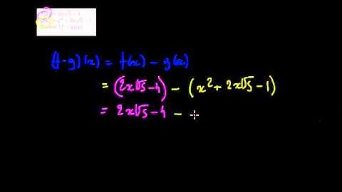
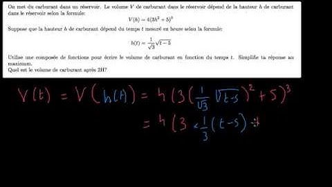
Modéliser une situation concrète à l'aide de deux fonctions - Exemple

Tonton & Download Video Musik Gratis

⬇ DOWNLOAD NOW
Kalau muncul iklan pop-up, tutup lalu klik tombol kembali

Download lagu Modéliser une situation concrète à l'aide de deux fonctions - Exemple secara gratis hanya untuk keperluan promosi. Dukung artis favorit kamu dengan membeli musik original di iTunes atau platform resmi lainnya.