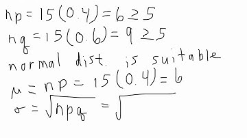
Math 14 HW 6.6.5-T Estimate P(fewer than 5) using the continuity correction

Tonton & Download Video Musik Gratis

⬇ DOWNLOAD NOW
Kalau muncul iklan pop-up, tutup lalu klik tombol kembali

Download lagu Math 14 HW 6.6.5-T Estimate P(fewer than 5) using the continuity correction secara gratis hanya untuk keperluan promosi. Dukung artis favorit kamu dengan membeli musik original di iTunes atau platform resmi lainnya.