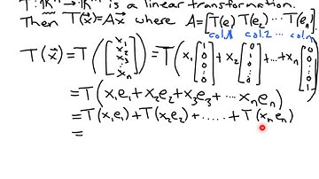
[Linear Transformation] Lesson 3.2: Standard Matrix For The Linear Transformation

Tonton & Download Video Musik Gratis

⬇ DOWNLOAD NOW
Kalau muncul iklan pop-up, tutup lalu klik tombol kembali

Download lagu [Linear Transformation] Lesson 3.2: Standard Matrix For The Linear Transformation secara gratis hanya untuk keperluan promosi. Dukung artis favorit kamu dengan membeli musik original di iTunes atau platform resmi lainnya.