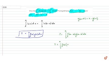
Show that `int_0^a f(x)g(x)dx=2 int_0^a f(x)dx` if f and g defined as `f(x) = f(a-x)` and `g(x) ...

Tonton & Download Video Musik Gratis

⬇ DOWNLOAD NOW
Kalau muncul iklan pop-up, tutup lalu klik tombol kembali

Download lagu Show that `int_0^a f(x)g(x)dx=2 int_0^a f(x)dx` if f and g defined as `f(x) = f(a-x)` and `g(x) ... secara gratis hanya untuk keperluan promosi. Dukung artis favorit kamu dengan membeli musik original di iTunes atau platform resmi lainnya.