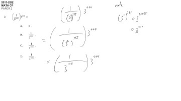
HKDSE 2017 Maths Core Paper 2 Q02: Index Law 指數定律、 Index Definition指數定義、 Fraction 分數

Tonton & Download Video Musik Gratis

⬇ DOWNLOAD NOW
Kalau muncul iklan pop-up, tutup lalu klik tombol kembali

Download lagu HKDSE 2017 Maths Core Paper 2 Q02: Index Law 指數定律、 Index Definition指數定義、 Fraction 分數 secara gratis hanya untuk keperluan promosi. Dukung artis favorit kamu dengan membeli musik original di iTunes atau platform resmi lainnya.