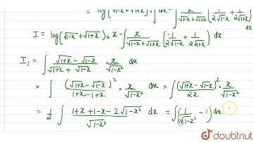
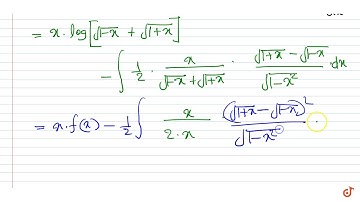
If int log(sqrt(1-x)+sqrt(1+x))dx=xf(X)+Ax+Bsin^(-1)x+c, then- | 12 | INTEGRATION BY PARTS | MA...

Tonton & Download Video Musik Gratis

⬇ DOWNLOAD NOW
Kalau muncul iklan pop-up, tutup lalu klik tombol kembali

Download lagu If int log(sqrt(1-x)+sqrt(1+x))dx=xf(X)+Ax+Bsin^(-1)x+c, then- | 12 | INTEGRATION BY PARTS | MA... secara gratis hanya untuk keperluan promosi. Dukung artis favorit kamu dengan membeli musik original di iTunes atau platform resmi lainnya.