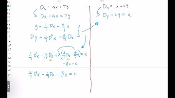
Problem 3.4.18 - Advanced Engineering Math - Chapter 3 Higher-Order Differential Equations

Tonton & Download Video Musik Gratis

⬇ DOWNLOAD NOW
Kalau muncul iklan pop-up, tutup lalu klik tombol kembali

Download lagu Problem 3.4.18 - Advanced Engineering Math - Chapter 3 Higher-Order Differential Equations secara gratis hanya untuk keperluan promosi. Dukung artis favorit kamu dengan membeli musik original di iTunes atau platform resmi lainnya.