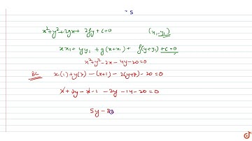
JEE MAINS 2018 If P and Q are the points of intersection of the circles `x^2+""y^2+""3x""+""7...

Tonton & Download Video Musik Gratis

⬇ DOWNLOAD NOW
Kalau muncul iklan pop-up, tutup lalu klik tombol kembali

Download lagu JEE MAINS 2018 If P and Q are the points of intersection of the circles `x^2+""y^2+""3x""+""7... secara gratis hanya untuk keperluan promosi. Dukung artis favorit kamu dengan membeli musik original di iTunes atau platform resmi lainnya.