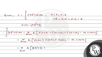
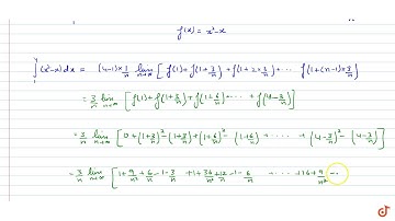
Evaluate the following definite integrals as limit of sums.`int_0^4(x+e^(2x))dx`

Tonton & Download Video Musik Gratis

⬇ DOWNLOAD NOW
Kalau muncul iklan pop-up, tutup lalu klik tombol kembali

Download lagu Evaluate the following definite integrals as limit of sums.`int_0^4(x+e^(2x))dx` secara gratis hanya untuk keperluan promosi. Dukung artis favorit kamu dengan membeli musik original di iTunes atau platform resmi lainnya.