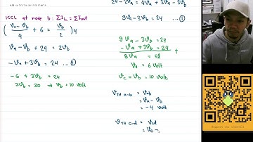
Problem 4.51, Fundamentals of Electric Circuits, 7th ed, by Charles Alexander, Matthew Sadiku

Tonton & Download Video Musik Gratis

⬇ DOWNLOAD NOW
Kalau muncul iklan pop-up, tutup lalu klik tombol kembali

Download lagu Problem 4.51, Fundamentals of Electric Circuits, 7th ed, by Charles Alexander, Matthew Sadiku secara gratis hanya untuk keperluan promosi. Dukung artis favorit kamu dengan membeli musik original di iTunes atau platform resmi lainnya.