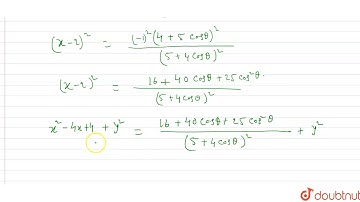
If x + i y = 3 / 2+Cos +i Sin then show that x² + y² = 4x - 3 @EAG

Tonton & Download Video Musik Gratis

⬇ DOWNLOAD NOW
Kalau muncul iklan pop-up, tutup lalu klik tombol kembali

Download lagu If x + i y = 3 / 2+Cos +i Sin then show that x² + y² = 4x - 3 @EAG secara gratis hanya untuk keperluan promosi. Dukung artis favorit kamu dengan membeli musik original di iTunes atau platform resmi lainnya.