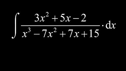
Integrate (x+1)/(x^3-2x^2-5x-6): partial fractions with a cubic denominator. Guess a root to factor!

Tonton & Download Video Musik Gratis

⬇ DOWNLOAD NOW
Kalau muncul iklan pop-up, tutup lalu klik tombol kembali

Download lagu Integrate (x+1)/(x^3-2x^2-5x-6): partial fractions with a cubic denominator. Guess a root to factor! secara gratis hanya untuk keperluan promosi. Dukung artis favorit kamu dengan membeli musik original di iTunes atau platform resmi lainnya.