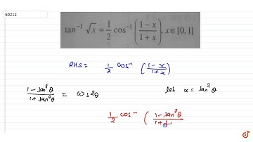
`tan^-1((sqrt(1+x^2)-1)/x)' | tan^(-1)(sqrt(1+x^(2))-1)/(x) x is not equal to 0

Tonton & Download Video Musik Gratis

тмЗ DOWNLOAD NOW
Kalau muncul iklan pop-up, tutup lalu klik tombol kembali

Download lagu `tan^-1((sqrt(1+x^2)-1)/x)' | tan^(-1)(sqrt(1+x^(2))-1)/(x) x is not equal to 0 secara gratis hanya untuk keperluan promosi. Dukung artis favorit kamu dengan membeli musik original di iTunes atau platform resmi lainnya.