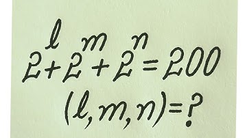
A Tricky math olympiad Algebric problem || What is the value of "l", "m", "n" in this question?

Tonton & Download Video Musik Gratis

⬇ DOWNLOAD NOW
Kalau muncul iklan pop-up, tutup lalu klik tombol kembali

Download lagu A Tricky math olympiad Algebric problem || What is the value of "l", "m", "n" in this question? secara gratis hanya untuk keperluan promosi. Dukung artis favorit kamu dengan membeli musik original di iTunes atau platform resmi lainnya.