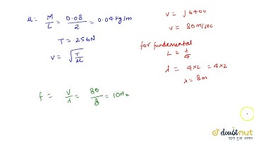
A 2.00 m-long rope, having a mass of 80 g, is fixed atone end and is tied to a light string at the

Tonton & Download Video Musik Gratis

⬇ DOWNLOAD NOW
Kalau muncul iklan pop-up, tutup lalu klik tombol kembali

Download lagu A 2.00 m-long rope, having a mass of 80 g, is fixed atone end and is tied to a light string at the secara gratis hanya untuk keperluan promosi. Dukung artis favorit kamu dengan membeli musik original di iTunes atau platform resmi lainnya.