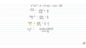
If the arithmetic mean of two positive numbers \( a \) and \( b(ab) \) is twice their geometric ...

Tonton & Download Video Musik Gratis

⬇ DOWNLOAD NOW
Kalau muncul iklan pop-up, tutup lalu klik tombol kembali

Download lagu If the arithmetic mean of two positive numbers \( a \) and \( b(ab) \) is twice their geometric ... secara gratis hanya untuk keperluan promosi. Dukung artis favorit kamu dengan membeli musik original di iTunes atau platform resmi lainnya.