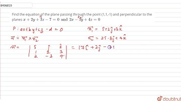
Find the equation of the plane passing through the point (1,1,-1) and perpendicular to the planes...

Tonton & Download Video Musik Gratis

⬇ DOWNLOAD NOW
Kalau muncul iklan pop-up, tutup lalu klik tombol kembali

Download lagu Find the equation of the plane passing through the point (1,1,-1) and perpendicular to the planes... secara gratis hanya untuk keperluan promosi. Dukung artis favorit kamu dengan membeli musik original di iTunes atau platform resmi lainnya.