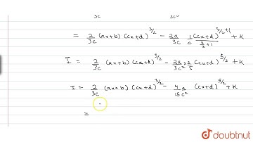
#integrals #iitjeemaths #mathtricks EVALUATION OF INTEGRALS OF THE FORM ∫(ax+b)√(cx+d) dx || CLASS12

Tonton & Download Video Musik Gratis

⬇ DOWNLOAD NOW
Kalau muncul iklan pop-up, tutup lalu klik tombol kembali

Download lagu #integrals #iitjeemaths #mathtricks EVALUATION OF INTEGRALS OF THE FORM ∫(ax+b)√(cx+d) dx || CLASS12 secara gratis hanya untuk keperluan promosi. Dukung artis favorit kamu dengan membeli musik original di iTunes atau platform resmi lainnya.