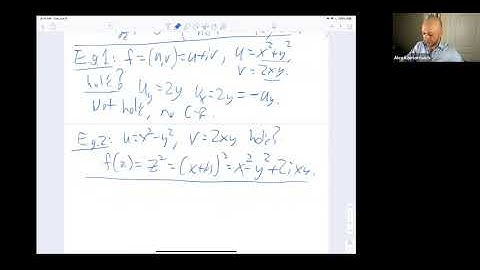
Lecture 2, Complex Analysis Rutgers Math 503 Prof. Kontorovich, 9/04/2020

Tonton & Download Video Musik Gratis

⬇ DOWNLOAD NOW
Kalau muncul iklan pop-up, tutup lalu klik tombol kembali

Download lagu Lecture 2, Complex Analysis Rutgers Math 503 Prof. Kontorovich, 9/04/2020 secara gratis hanya untuk keperluan promosi. Dukung artis favorit kamu dengan membeli musik original di iTunes atau platform resmi lainnya.