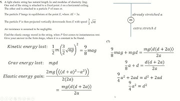
Pearson EDEXCEL A Level Further MathemATIcs Mark Scheme Paper 3c 2024 9fm0 3c Further Mechanics 1

Tonton & Download Video Musik Gratis

⬇ DOWNLOAD NOW
Kalau muncul iklan pop-up, tutup lalu klik tombol kembali

Download lagu Pearson EDEXCEL A Level Further MathemATIcs Mark Scheme Paper 3c 2024 9fm0 3c Further Mechanics 1 secara gratis hanya untuk keperluan promosi. Dukung artis favorit kamu dengan membeli musik original di iTunes atau platform resmi lainnya.