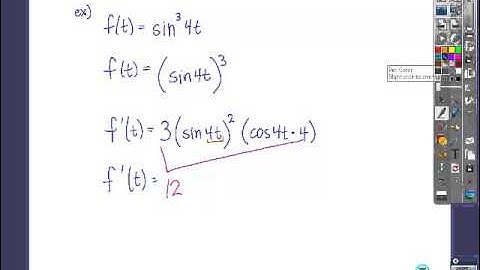
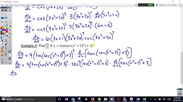
AP Calculus AB - The Chain Rule - Part I - Section 2.4 - Examples 1 and 2.wmv

Tonton & Download Video Musik Gratis

⬇ DOWNLOAD NOW
Kalau muncul iklan pop-up, tutup lalu klik tombol kembali

Download lagu AP Calculus AB - The Chain Rule - Part I - Section 2.4 - Examples 1 and 2.wmv secara gratis hanya untuk keperluan promosi. Dukung artis favorit kamu dengan membeli musik original di iTunes atau platform resmi lainnya.