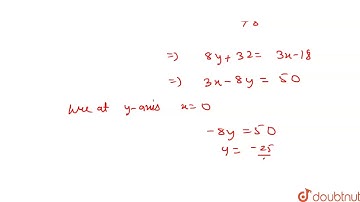
Find the ratio in which the y-axis divides the line segment joining the points (6,-4) and (-2,-7)

Tonton & Download Video Musik Gratis

⬇ DOWNLOAD NOW
Kalau muncul iklan pop-up, tutup lalu klik tombol kembali

Download lagu Find the ratio in which the y-axis divides the line segment joining the points (6,-4) and (-2,-7) secara gratis hanya untuk keperluan promosi. Dukung artis favorit kamu dengan membeli musik original di iTunes atau platform resmi lainnya.