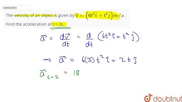
The velocity of an object is given by ` vecv = ( 6 t^(3) hati + t^(2) hatj)

Tonton & Download Video Musik Gratis

⬇ DOWNLOAD NOW
Kalau muncul iklan pop-up, tutup lalu klik tombol kembali

Download lagu The velocity of an object is given by ` vecv = ( 6 t^(3) hati + t^(2) hatj) secara gratis hanya untuk keperluan promosi. Dukung artis favorit kamu dengan membeli musik original di iTunes atau platform resmi lainnya.