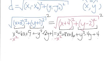
The equation of the locus of points equidistant from `(-1-1)` and `(4,2)` is

Tonton & Download Video Musik Gratis

⬇ DOWNLOAD NOW
Kalau muncul iklan pop-up, tutup lalu klik tombol kembali

Download lagu The equation of the locus of points equidistant from `(-1-1)` and `(4,2)` is secara gratis hanya untuk keperluan promosi. Dukung artis favorit kamu dengan membeli musik original di iTunes atau platform resmi lainnya.