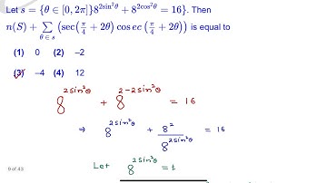
Let \( S=\left\{\theta \in[-2 \pi, 2 \pi]: 2 \cos ^{2} \theta+3 \sin \theta=0\right\} \). Then t....

Tonton & Download Video Musik Gratis

⬇ DOWNLOAD NOW
Kalau muncul iklan pop-up, tutup lalu klik tombol kembali

Download lagu Let \( S=\left\{\theta \in[-2 \pi, 2 \pi]: 2 \cos ^{2} \theta+3 \sin \theta=0\right\} \). Then t.... secara gratis hanya untuk keperluan promosi. Dukung artis favorit kamu dengan membeli musik original di iTunes atau platform resmi lainnya.