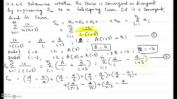
11.2.45 ∑3/(n(n+3)) Determine whether the series is convergent by expressing sn as a telescoping sum

Tonton & Download Video Musik Gratis

⬇ DOWNLOAD NOW
Kalau muncul iklan pop-up, tutup lalu klik tombol kembali

Download lagu 11.2.45 ∑3/(n(n+3)) Determine whether the series is convergent by expressing sn as a telescoping sum secara gratis hanya untuk keperluan promosi. Dukung artis favorit kamu dengan membeli musik original di iTunes atau platform resmi lainnya.