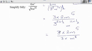
NCEA Level 2 Algebra Achieved question Simplifying expressions and solving equations

Tonton & Download Video Musik Gratis

⬇ DOWNLOAD NOW
Kalau muncul iklan pop-up, tutup lalu klik tombol kembali

Download lagu NCEA Level 2 Algebra Achieved question Simplifying expressions and solving equations secara gratis hanya untuk keperluan promosi. Dukung artis favorit kamu dengan membeli musik original di iTunes atau platform resmi lainnya.