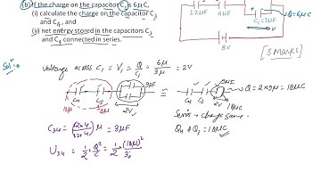
Ex-49 Electrostatic potential and capacitance/three capacitors C1,C2, and C3 are connected to a 6V b

Tonton & Download Video Musik Gratis

⬇ DOWNLOAD NOW
Kalau muncul iklan pop-up, tutup lalu klik tombol kembali

Download lagu Ex-49 Electrostatic potential and capacitance/three capacitors C1,C2, and C3 are connected to a 6V b secara gratis hanya untuk keperluan promosi. Dukung artis favorit kamu dengan membeli musik original di iTunes atau platform resmi lainnya.