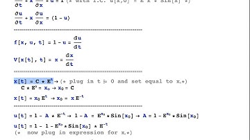
Lecture 6, Part 1 - Characteristic Curves in Partial Differential Equations (Advection Equation)

Tonton & Download Video Musik Gratis

⬇ DOWNLOAD NOW
Kalau muncul iklan pop-up, tutup lalu klik tombol kembali

Download lagu Lecture 6, Part 1 - Characteristic Curves in Partial Differential Equations (Advection Equation) secara gratis hanya untuk keperluan promosi. Dukung artis favorit kamu dengan membeli musik original di iTunes atau platform resmi lainnya.