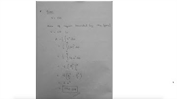
Calculus Help: Find the area of the region bounded by the spiral r = 10θ from 0≤θ≤π

Tonton & Download Video Musik Gratis

⬇ DOWNLOAD NOW
Kalau muncul iklan pop-up, tutup lalu klik tombol kembali

Download lagu Calculus Help: Find the area of the region bounded by the spiral r = 10θ from 0≤θ≤π secara gratis hanya untuk keperluan promosi. Dukung artis favorit kamu dengan membeli musik original di iTunes atau platform resmi lainnya.