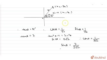
Point A and B are in the first quadrant,point O is the origin. If the slope of OA is 1,slope o...

Tonton & Download Video Musik Gratis

⬇ DOWNLOAD NOW
Kalau muncul iklan pop-up, tutup lalu klik tombol kembali

Download lagu Point A and B are in the first quadrant,point O is the origin. If the slope of OA is 1,slope o... secara gratis hanya untuk keperluan promosi. Dukung artis favorit kamu dengan membeli musik original di iTunes atau platform resmi lainnya.