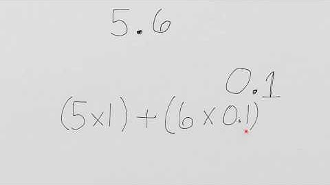
How to Write a Number Using Decimal Expansion | 5.NBT.A.3 💛💙

Tonton & Download Video Musik Gratis

⬇ DOWNLOAD NOW
Kalau muncul iklan pop-up, tutup lalu klik tombol kembali

Download lagu How to Write a Number Using Decimal Expansion | 5.NBT.A.3 💛💙 secara gratis hanya untuk keperluan promosi. Dukung artis favorit kamu dengan membeli musik original di iTunes atau platform resmi lainnya.