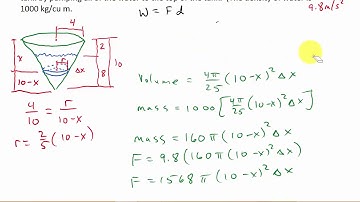
Integration App: Determine the Amount of Work to Pump Water Out of an Inverted Cone Tank

Tonton & Download Video Musik Gratis

⬇ DOWNLOAD NOW
Kalau muncul iklan pop-up, tutup lalu klik tombol kembali

Download lagu Integration App: Determine the Amount of Work to Pump Water Out of an Inverted Cone Tank secara gratis hanya untuk keperluan promosi. Dukung artis favorit kamu dengan membeli musik original di iTunes atau platform resmi lainnya.