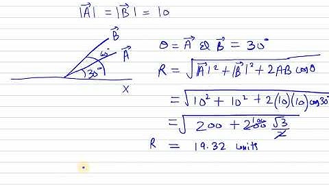
H C Verma Solution, V-1, Ch-2, Q.N-6, Two vectors have magnitude 3unit and 4unit respectively. What

Tonton & Download Video Musik Gratis

⬇ DOWNLOAD NOW
Kalau muncul iklan pop-up, tutup lalu klik tombol kembali

Download lagu H C Verma Solution, V-1, Ch-2, Q.N-6, Two vectors have magnitude 3unit and 4unit respectively. What secara gratis hanya untuk keperluan promosi. Dukung artis favorit kamu dengan membeli musik original di iTunes atau platform resmi lainnya.