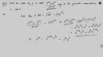
XI Sequence and series Find the value of n so that a^n+1 + b^n+1 a^n +b^n may be the geometric mean

Tonton & Download Video Musik Gratis

⬇ DOWNLOAD NOW
Kalau muncul iklan pop-up, tutup lalu klik tombol kembali

Download lagu XI Sequence and series Find the value of n so that a^n+1 + b^n+1 a^n +b^n may be the geometric mean secara gratis hanya untuk keperluan promosi. Dukung artis favorit kamu dengan membeli musik original di iTunes atau platform resmi lainnya.