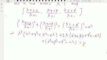
Analytical solid geometry : - ( Orthogonal spheres ; Solving problem ) - 83.

Tonton & Download Video Musik Gratis

⬇ DOWNLOAD NOW
Kalau muncul iklan pop-up, tutup lalu klik tombol kembali

Download lagu Analytical solid geometry : - ( Orthogonal spheres ; Solving problem ) - 83. secara gratis hanya untuk keperluan promosi. Dukung artis favorit kamu dengan membeli musik original di iTunes atau platform resmi lainnya.