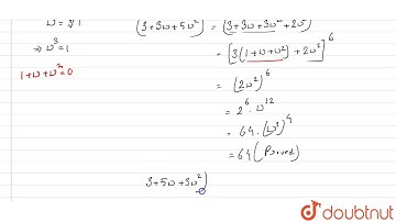
If `omega` be an imaginary cube root of unity, show that ` (a+bomega+comega^2)

Tonton & Download Video Musik Gratis

⬇ DOWNLOAD NOW
Kalau muncul iklan pop-up, tutup lalu klik tombol kembali

Download lagu If `omega` be an imaginary cube root of unity, show that ` (a+bomega+comega^2) secara gratis hanya untuk keperluan promosi. Dukung artis favorit kamu dengan membeli musik original di iTunes atau platform resmi lainnya.