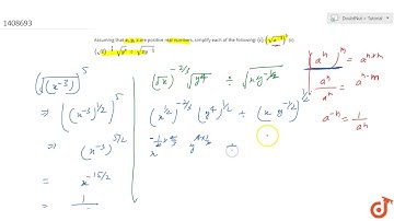
Assuming that `x , y , z` are positive real numbers, simplify each of the following: `sqrt(x

Tonton & Download Video Musik Gratis

⬇ DOWNLOAD NOW
Kalau muncul iklan pop-up, tutup lalu klik tombol kembali

Download lagu Assuming that `x , y , z` are positive real numbers, simplify each of the following: `sqrt(x secara gratis hanya untuk keperluan promosi. Dukung artis favorit kamu dengan membeli musik original di iTunes atau platform resmi lainnya.