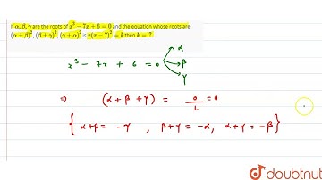
If `alpha, beta, gamma` the roots of the equation `x^3-7x+7=0` then `1/alpha^4+1/beta^4+1/gamm

Tonton & Download Video Musik Gratis

⬇ DOWNLOAD NOW
Kalau muncul iklan pop-up, tutup lalu klik tombol kembali

Download lagu If `alpha, beta, gamma` the roots of the equation `x^3-7x+7=0` then `1/alpha^4+1/beta^4+1/gamm secara gratis hanya untuk keperluan promosi. Dukung artis favorit kamu dengan membeli musik original di iTunes atau platform resmi lainnya.