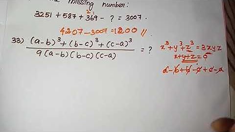
If a+b+c=13 a2+b2+C2=69 then find ab+bc+ca Simplification Tnpsc previous year question 2022

Tonton & Download Video Musik Gratis

⬇ DOWNLOAD NOW
Kalau muncul iklan pop-up, tutup lalu klik tombol kembali

Download lagu If a+b+c=13 a2+b2+C2=69 then find ab+bc+ca Simplification Tnpsc previous year question 2022 secara gratis hanya untuk keperluan promosi. Dukung artis favorit kamu dengan membeli musik original di iTunes atau platform resmi lainnya.