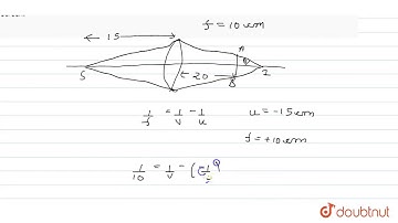
A point source S is placed at a distance of 15 cm from a converging lens of focal length10 cm on...

Tonton & Download Video Musik Gratis

⬇ DOWNLOAD NOW
Kalau muncul iklan pop-up, tutup lalu klik tombol kembali

Download lagu A point source S is placed at a distance of 15 cm from a converging lens of focal length10 cm on... secara gratis hanya untuk keperluan promosi. Dukung artis favorit kamu dengan membeli musik original di iTunes atau platform resmi lainnya.