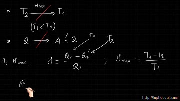
[Vật lí 10 CB&NC] Chương 8 Bài 58- Nguyên lí 1 của nhiệt động lực học- Phần 2- Công thức

Tonton & Download Video Musik Gratis

⬇ DOWNLOAD NOW
Kalau muncul iklan pop-up, tutup lalu klik tombol kembali

Download lagu [Vật lí 10 CB&NC] Chương 8 Bài 58- Nguyên lí 1 của nhiệt động lực học- Phần 2- Công thức secara gratis hanya untuk keperluan promosi. Dukung artis favorit kamu dengan membeli musik original di iTunes atau platform resmi lainnya.