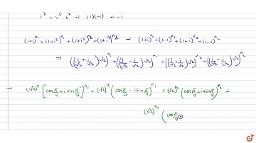
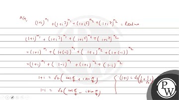
For positive integers n1,n2 the value of the expression (1+i)^n1+(1+i^3)^n1+(1+i^5)^n2+(1+i^7)^n2 is

Tonton & Download Video Musik Gratis

⬇ DOWNLOAD NOW
Kalau muncul iklan pop-up, tutup lalu klik tombol kembali

Download lagu For positive integers n1,n2 the value of the expression (1+i)^n1+(1+i^3)^n1+(1+i^5)^n2+(1+i^7)^n2 is secara gratis hanya untuk keperluan promosi. Dukung artis favorit kamu dengan membeli musik original di iTunes atau platform resmi lainnya.