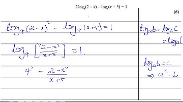
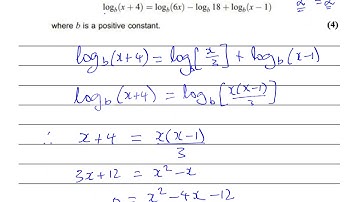
P2 new Practice Paper A IAL Q9 The Factor Theorem, Trig Equations

Tonton & Download Video Musik Gratis

⬇ DOWNLOAD NOW
Kalau muncul iklan pop-up, tutup lalu klik tombol kembali

Download lagu P2 new Practice Paper A IAL Q9 The Factor Theorem, Trig Equations secara gratis hanya untuk keperluan promosi. Dukung artis favorit kamu dengan membeli musik original di iTunes atau platform resmi lainnya.