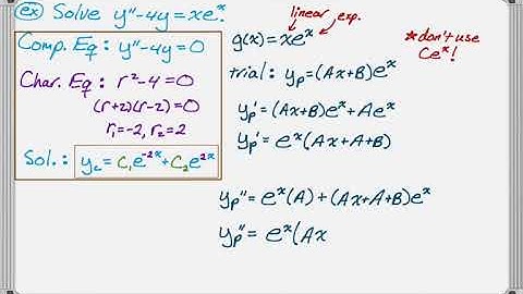
Method of Undetermined Coefficients Linear Dependent Case (Polynomial)

Tonton & Download Video Musik Gratis

⬇ DOWNLOAD NOW
Kalau muncul iklan pop-up, tutup lalu klik tombol kembali

Download lagu Method of Undetermined Coefficients Linear Dependent Case (Polynomial) secara gratis hanya untuk keperluan promosi. Dukung artis favorit kamu dengan membeli musik original di iTunes atau platform resmi lainnya.