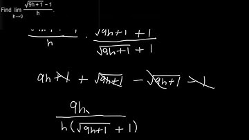
Evaluate the limit, where a is a constant real number: lim (3a + h) / (9a), as h approaches 0. Give…

Tonton & Download Video Musik Gratis

⬇ DOWNLOAD NOW
Kalau muncul iklan pop-up, tutup lalu klik tombol kembali

Download lagu Evaluate the limit, where a is a constant real number: lim (3a + h) / (9a), as h approaches 0. Give… secara gratis hanya untuk keperluan promosi. Dukung artis favorit kamu dengan membeli musik original di iTunes atau platform resmi lainnya.