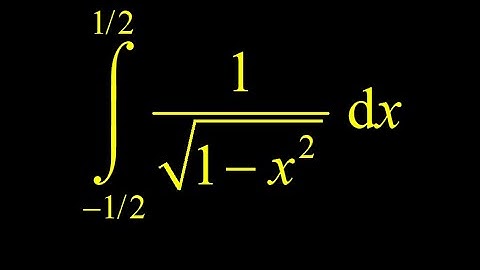
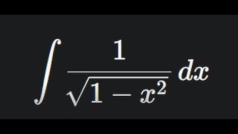
Definite Integral arcsin(x)/√(1-x²) from 0 to 1 – Exact Value

Tonton & Download Video Musik Gratis

⬇ DOWNLOAD NOW
Kalau muncul iklan pop-up, tutup lalu klik tombol kembali

Download lagu Definite Integral arcsin(x)/√(1-x²) from 0 to 1 – Exact Value secara gratis hanya untuk keperluan promosi. Dukung artis favorit kamu dengan membeli musik original di iTunes atau platform resmi lainnya.