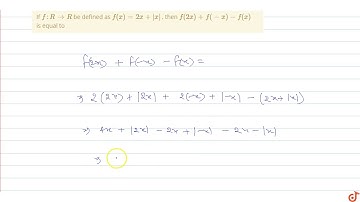
If `f:R - gt R` is defined by `f(x)=3x-2` then `f(f(x))+2=`

Tonton & Download Video Musik Gratis

⬇ DOWNLOAD NOW
Kalau muncul iklan pop-up, tutup lalu klik tombol kembali

Download lagu If `f:R - gt R` is defined by `f(x)=3x-2` then `f(f(x))+2=` secara gratis hanya untuk keperluan promosi. Dukung artis favorit kamu dengan membeli musik original di iTunes atau platform resmi lainnya.